北理工“拓撲絕緣體中能帶反轉誘導的反常等離激元”研究成果在《物理評論快報》上發表
發布日期:2018-01-17 供稿:物理學院
編輯:周格羽 審核:蘇文勇 閱讀次數:
最近,北京理工大學物理學院姚裕貴教授課題組(博士研究生張福如、姚裕貴教授)與美國卡內基梅隆大學的肖笛教授和卡內基梅隆大學/香港大學周建輝博士合作預言了在本征拓撲絕緣體中能帶反轉誘導的反常等離激元。相關研究成果發表在近期的《物理評論快報》上[Phys. Rev. Lett. 119, 266804 (2017)],該工作得到國家自然科學基金委和科技部的資助。
等離激元是凝聚態物理中最重要的元激發之一,十九世紀五十年代初David Pines和David Bohm首先提出了等離激元的概念,它描述電子液體中普遍存在的由于庫侖相互作用引發的電子密度的集體振蕩行為。在長波極限下,等離激元頻率通常正比于費米能級處的載流子的態密度,因而等離激元主要存在于金屬、摻雜的半導體和半金屬中。六十多年來,科學家對等離激元的研究不斷深入和壯大,對它的研究逐漸發展成為等離激元光子學和一系列相關交叉學科,等離激元在生物醫學靈敏成像、光信息通訊、國家安全等領域都有著廣泛的應用前景。

圖1:反轉能帶中不同能帶間躍遷過程分解示意圖

圖2:反帶與正帶體系的能帶結構、態密度和波函數交疊圖

圖3:不同外場強度下等離激元的色散關系和相應能量損失函數

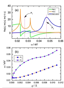
圖4:破壞粒子--空穴對稱性項使得等離激元能譜發生劈裂,形成雙峰結構(P1 和P2)

圖5:輕度摻雜拓撲絕緣體薄膜中(化學勢μ="0.004eV)等離激元的色散關系
拓撲絕緣體和拓撲半金屬是凝聚態物理的前沿研究領域,理論和實驗方面的研究方興未艾。近年來拓撲絕緣體及其薄膜中關于等離激元的理論和實驗研究也如火如荼地開展,然而這些研究大多集中在電子或者空穴摻雜的拓撲絕緣體,此時費米能級處具有非零的態密度。由于拓撲材料中常常存在能帶反轉,該工作著重研究了本征拓撲絕緣體(費米能級在能隙里,相應的態密度為零)中能帶反轉誘導的反常等離激元行為。他們發現具有墨西哥帽子(Mexican-hat)的反轉能帶結構中能帶之間的躍遷可以分解為兩個在正常能帶中不同能帶之間的躍遷和兩個相同能帶內的躍遷過程(圖1),在正常能帶中不同能帶之間的躍遷過程相應的波函數的交疊很小,但是相同能帶內的躍遷過程具有很大的波函數的交疊,使得反轉能帶中能帶之間的關聯被極大地增強;另一方面,反轉能帶的邊緣是范霍夫奇異點(圖2)。這兩個要素使得本征拓撲絕緣體可以支持很強的等離激元激發。通過數值計算他們還發現鉻或釩摻雜(Bi, Sb)2Te3 薄膜中的等離激元頻率為幾毫電子伏到幾十毫電子伏,并可有效地通過外場調節(圖3)。研究還發現破缺粒子--空穴對稱性的項會誘導等離激元能譜的劈裂,形成雙峰結構(圖4)。由于等離激元的行為強烈地依賴能帶的拓撲性質,該工作進一步還指出等離激元可以作為探測本征或低度摻雜拓撲絕緣體中拓撲相變的有效方法(圖3或圖5)。上述研究成果將為拓撲材料在等離激元光子學中潛在的應用提供理論基礎和指導。
文章鏈接:https://link.aps.org/doi/10.1103/PhysRevLett.119.266804
分享到:
